三角范畴讲稿(Triangulated Categories Notes)

三角范畴

三角范畴定义和基本性质

定义

设 $\calD$ 是加性范畴。$\calD$ 上的三角范畴结构为

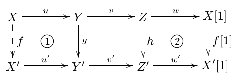
(a) 加性自态射 $T: \calD \to \calD$, 称为转移函子。我们记 $X[n]:=T^n(X), f[n]: = T^n(f)$. 三角定义为以下一组对象和态射 $$ X \xrightarrow{u} Y \xrightarrow{v} Z \xrightarrow{w} X[1]. $$ 不要求其为复形。三角之间的态射定义为使下图交换的 $(f,g,h,f[1])$

如果 $f,g,h,f[1]$ 都是同构,则称这两个三角同构。

(b) 一类好三角

并且要求满足以下四个条件:

(TR1) (a) $X\xrightarrow{\text{id}}X \to 0 \to X[1]$ 是好三角。(b) 同构于好三角的三角是好三角。(c) 任意态射 $X \xrightarrow{u} Y$ 都可以补成一个好三角 $$ X \xrightarrow{u}Y \xrightarrow{v} Z \xrightarrow{w} X[1]. $$

(TR2) 一个三角 $$ X \xrightarrow{u}Y \xrightarrow{v} Z \xrightarrow{w} X[1] $$ 是好三角当且仅当 $$ Y \xrightarrow{v} Z \xrightarrow{w} X[1] \xrightarrow{- u[1]} Y[1]$$ 是好三角。

(TR3) 如果我们有下图左边方形交换

那么存在态射 $h:Z \to Z’$ 使得下图交换(即构成三角的态射)

(TR4) 八面体图是如下两个图

并且满足条件 $$ Y \to Z \to Y’ $$ $$ Y \to Z’ \to Y’ $$ 这两个态射相同 $$ Y’ \to X’ \to Y[1] $$ $$ Y’ \to X \to Y[1] $$ 这两个态射相同。(TR4) 是如果我们有一个 upper cap 图,那么我们就可以补全整个八面体图。

定义

在 (TR1)(c) 中,我们也会将 $Z$ 记为 $C(u)$, 称为 cone of $u$. 这个 $C(u)$ 在同构的意义下是唯一的。(后面证明)

定义

设 $F: \calD \to \calD’$ 是两个三角范畴之间的函子。如果

(1) $F$ 和转移函子 $T$ 交换。

(2) $F$ 将 $\calD$ 中的好三角映射到 $\calD’$ 中的好三角。

则称 $F$ 是三角范畴间的正合函子。(需要和我们之前接触的范畴间正合函子区分一下)。

我们下文提到的正合也都按照三角范畴意义下的正合。

引理

好三角构成一个复形。

证明:

设 $X \xrightarrow{u} Y \xrightarrow{v} Z \xrightarrow{w} X[1]$ 是一个好三角。我们知道

$$ X \xrightarrow{\text{id}_X} X \to 0 \to X[1]$$ 也是一个好三角。

我们有以下图

左边方形交换,根据 (TR3), 我们可以找到态射 $h: 0 \to Z$ 使得整个图交换。

所以 $v \circ u =0$. 根据 (TR2),我们可以得到 $wv = 0$.

所以好三角 $X \xrightarrow{u} Y \xrightarrow{v} Z \xrightarrow{w} X[1]$ 构成一个复形。

命题

设 $\calD$ 是一个三角范畴并且设 $X \xrightarrow{u} Y \xrightarrow{v} Z \xrightarrow{w} X[1]$ 是一个好三角。那么对于任意对象 $U\in \text{ob}\ \calD$, 以下复形是正合的

证明:

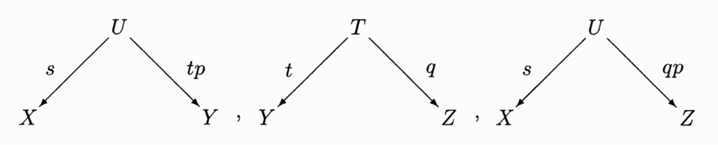
根据引理 , 我们知道 $vu =0$, 所以 $v_*u_* =0$. 故我们只要证对任意 $f \in \Hom(U,Y)$ 满足 $vf =0$, 那么一定存在 $g \in \Hom(U,X)$ 使得 $f= ug$ 即可。

根据 (TR1)(a), $U \xrightarrow{\text{id}_U} U \to 0 \to U[1]$ 是一个好三角。根据 (TR3), $U \to 0 \to U[1] \xrightarrow{- \text{id}_{U[1]}} U[1]$, $Y \xrightarrow{v} Z \xrightarrow{w}X[1] \xrightarrow{-u[1]} X[1]$ 也是一个好三角。

我们有以下图

左边方形是交换的,根据 (TR3), 我们有 $g[1]$ 使得图交换。

也就是我们找到了 $g$ 使得 $ug = f$.

推论

(a) 对于 (TR3) 中的图

如果 $f,g$ 是同构,那么 $h$ 也是同构。

(b) (TR1)(c) 中补全的好三角在同构的意义下是唯一的。

证明:

利用命题 , 我们有下图

其中行都是正合的,并且 $f_*,g_*$ 是同构。所以根据五引理, $h_*$ 也是同构。

即对于 $\text{id}_{Z’} \in \Hom(Z’,Z’)$ , 存在 $\varphi \in \Hom(Z’,Z)$ 使得 $h \varphi = \text{id}_{Z’}$.

类似的,我们可以用 $\Hom(-, Z )$ 来操作(书上写的有问题)。我们会得到存在 $\psi \in \Hom(Z’ ,Z)$ 使得 $\psi \circ h = \text{id}_Z$., 那么 $h$ 确实是一个同构。

(b) 根据 (TR3) ,显然 (TR1)(c) 中的补全都是同构的。

推论

设我们有下图

其中行都是好三角。

如果 $v’ g u = 0$ ,那么 $g$ 可以被补全成一个三角的态射。进一步如果 $\Hom(X,Z'[-1]) = 0$, 那么这个三角的态射是唯一的。

证明:

利用命题 , 我们有以下正合列

注意到 $v’_*(gu) = 0$, 所以 $gu \in \rmIm(u’_*)$, 所以存在 $f \in \Hom(X,X’)$ 使得 $u’ f = gu$.

那么我们有 $f,g$ 使得下图左侧方形交换

根据 (TR3),我们可以找到一个 $h$ 使得整个图交换。也就是 $g$ 被补全成两个好三角之间的态射。

如果 $\Hom(X,Z'[-1]) = 0$, 那么 $\Hom(X,X’ ) \xrightarrow{u’_*} \Hom(X,Y’)$ 就是一个单射。所以 $f$ 是唯一的。

我们再看图

$\Hom(Z,Z’) \xrightarrow{v^*} \Hom(Y,Z’)$ 是单射,所以 $h$ 是唯一的。

定义 (上同调函子)

设 $H :\calD \to \calA$ 是从三角范畴 $\calD$ 到 abel 范畴 $\calA$ 的函子。 我们称 $H$ 是上同调函子,如果 $H$ 是加性函子并且对于任意 $]calD$ 中好三角 $$X \xrightarrow{u} Y \xrightarrow{v} Z \xrightarrow{w} X[1]$$ 有

$$H(X) \xrightarrow{H(u)} H(Y) \xrightarrow{H(w)} H(Z)$$ 在 $\calA$ 中是正合的的。

根据 (TR2), 对于任何好三角 $$X \xrightarrow{u} Y \xrightarrow{v} Z \xrightarrow{w} X[1]$$ 显然有

$$H(X[i]) \xrightarrow{H(u[i])} H(Y[i]) \xrightarrow{H(v[i]) } H(Z[i]) \xrightarrow{w[i]} H(X[i+1])$$ 在 $\calA$ 中是正合的。

同伦范畴是三角范畴

定理

设 $\calA$ 是一个 Abel 范畴。范畴 $K(\calA)$ 和转移函子和好三角是一个三角范畴。

定义

设 $\calA$ 是一个 abel 范畴,同伦范畴 $K(\calA)$ 定义如下:

$$\begin{aligned} \text{Ob}\ K(\calA) &= \text{Ob}\ Kom(\calA) \\ \text{Mor} \ K(\calA) & =\text{Mor}\ Kom(\calA) \ \text{模掉同伦的链映射} \end{aligned}$$

定义

设 $K^\bullet$ 是 $K(\calA)$ 里的一个对象,即 $K^\bullet = (K^i,d^i_K)$ 是一个复形。

我们定义 $T(K^\bullet)$ 如下 $T(K^\bullet)^i = (K^{i+1}, – d^{i+1}_K)$. 我们定义 $K[n]^\bullet = T^n(K^\bullet)$, 也就是说我们有

$$K[n]^i = (K^{n+i}, (-1)^n d^{n+i}_K).$$

定义 (Cone)

设 $f: K^\bullet \to L^\bullet$ 是一个链映射。我定义 Cone of $f$ 为如下复形 $C(f)$,

$$C(f)^i =K[1]^i \oplus L^i ,d^i_{C(f)}\begin{pmatrix} k^{i+1} \\ l^i \end{pmatrix} = \begin{pmatrix} d_K[1] & 0 \\ f[1] & d_L \end{pmatrix}\begin{pmatrix} k^{i+1} \\ l^i \end{pmatrix} = \begin{pmatrix} – d_Kk^{i+1} \\ f(k^{i+1})+ d_Ll^i \end{pmatrix}$$

定义

设 $f: K^\bullet \to L^\bullet$ 是一个链映射我们定义 cylinder of $f$ 为如下复形 $Cyl(f)$,

\begin{aligned} Cyl(f)^i &= K^i \oplus K[1]^i \oplus L^i \\ d^i_{Cyl(f)}\begin{pmatrix} k^i\\ k^{i+1} \\ l^i \end{pmatrix} &= \begin{pmatrix} d_K & -1 & 0 \\ 0 &d_{K[1]} & 0 \\ 0& f[1] & d_L \end{pmatrix} \begin{pmatrix} k^i \\ k^{i+1}\\ l^i \end{pmatrix} = \begin{pmatrix} d_K k^i – k^{i+1} \\ – d_K k^{i+1} \\ f(k^{i+1}) + d_L l^i \end{pmatrix} \end{aligned}

引理

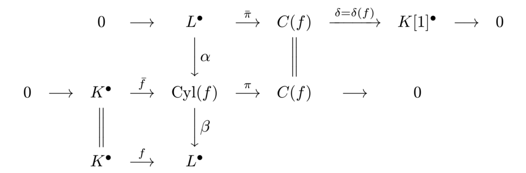
对于任意态射 $f: K^\bullet \to L^\bullet$, 存在以下 $K(\calA)$ 中的交换图

其中行都是正合的。

$\alpha: l^i \mapsto (0,0,l^i),\beta: (k^i, k^{i+1} ,l^i) \mapsto f(k^i) + l^i$ 是拟同构。$\beta \circ \alpha = \text{id}_{L^\bullet}$ 并且 $\alpha \circ \beta = \text{id}_{Cyl(f)}$ 在 $K(\calA)$ 中. 故 $L^\bullet$ 和 $Cyl(f)$ 在$K(\calA)$ 和 $D(\calA)$ 中都是同构的。

$\pi: (k^i,k^{i+1},l^i) \mapsto (k^{i+1},l^i)$, $\overline{f}: k^i \mapsto (k^i,0,0)$. $\delta: (k^{i+1}, l^i) \mapsto k^{i+1}$. $\overline{\pi}: l^i \mapsto (0,l^i)$.

定义

一个三角 $K^\bullet \xrightarrow{u} M^\bullet \xrightarrow{v} N^\bullet \xrightarrow{w} K[1]^\bullet$ 称为好三角,如果存在一个 $f: K^\bullet \to L^\bullet$使得它和引理 中间那一行

$$ 0\to K^\bullet \xrightarrow{\overline{f}} Cyl(f) \xrightarrow{\pi} C(f) \xrightarrow{\delta} K[1]^\bullet.$$

同构。

引理

$K(\calA)$ 满足 (TR1)(a), 即 $K^\bullet \xrightarrow{\text{id}} K^\bullet \to 0 \to K[1]$.

证明:

由引理 , 我们知道 $Cyl(\text{id})$ 和 $K^\bullet$ 同构。我们再证 $C(\text{id})$ 和 $0$ 同构。我们只需要验证存在映射 $h:C(id) \to C(id)$ 使得 $\text{id}_{C(\text{id})} = hd +dh$.

取 $h = \begin{pmatrix} 0 & \text{id} \\ 0 & 0 \end{pmatrix} $, 注意到 $d_{C(\text{id})} = \begin{pmatrix} d_K[1] & 0 \\ \text{id} & d_K \end{pmatrix}$.

那么 $$hd_{C(\text{id})} + d_{C(\text{id})} h = \begin{pmatrix} \text{id} & 0 \\ 0 &\text{id} \end{pmatrix} = \text{id}_{C(\text{id})} $$ 故有 $C(\text{id})$ 和 $0$ 同构。

我们有以下图

$$\begin{array}{ccccccc} K^\bullet & \xrightarrow{id} & K^\bullet & \to & 0 & \to & K[1]^\bullet \\ \downarrow{id} & & \downarrow{i} & & \downarrow{0} & & \downarrow{id} \\ K^\bullet & \xrightarrow{\overline{id}} & Cyl(id) & \xrightarrow{\pi} & C(id) & \xrightarrow{\delta} & K[1]^\bullet \end{array}$$

注记

(TR1)(b) 可以从 $K(\calA)$ 中好三角的定义直接得到。

(TR1)(c) 参考下图

所以补全并不是难事。

证明:

其中我们来验证一下 $i \circ u = \overline{u}$ 在 $K(\calA)$ 中。其实就是去证 $i\circ u$ 和 $\overline{u}$ 是同伦的。

我们注意到 $\overline{u}: k^i \mapsto (k^i , 0 ,0)$, $i: l^i \mapsto (0,0,l^i)$. 所以 $i\circ u : k^i \mapsto (0,0, u(k^i))$.

我们定义 $s: K^i \to Cyl(u) , k^i \mapsto (0,k^i,0)$.

$(d_{Cyl(u)} s + s d_K) (k^i) = (-k^i, 0, u(k^i)) = (i\circ u – \overline{u})(k^i)$.

引理

$K(\calA)$ 满足 (TR2).

证明:

我们只需要证明如果 $\Delta_1: X \xrightarrow{u} Y \xrightarrow{v} Z \xrightarrow{w} X[1]$ 是一个好三角,那么 $\Delta_2: Y\xrightarrow{v} Z \xrightarrow{w} X[1] \xrightarrow{-u[1]} Y[1]$ 也是个好三角。

设 $\Delta_3: Y \xrightarrow{v} Z \xrightarrow{s} C(v) \xrightarrow{t} Y[1]$ 是 $Y \xrightarrow{v} Z$ 补全的好三角。

要证明 $\Delta_2$ 是个好三角,只要证明 $\Delta_2$ 和 $\Delta_3$ 同构即可。

我们不妨假设 $Z = C(u) = X[1] \oplus Y$. 所以 $C(v) = Y[1] \oplus Z = Y[1] \oplus X[1] \oplus Y$.

$$d_{C(v)} = \begin{pmatrix} -d_Y & 0 &0 \\ 0 &-d_X & 0 \\ \text{id}_Y & u[1] & d_Y \end{pmatrix}$$

定义 $\theta^i(x^{i+1}) = (-u(x^{i+1}), x^{i+1},0)$.

我们先证 $\theta$ 使得下图交换

最右边的方形显然交换。我们来验证 $s$ 和 $\theta \circ w$ 同伦。

设 $h^i :Z^i \to C(v)^{i-1}, (x^{i+1},y^i) \mapsto (y^i,0,0)$, 注意到 $h\circ d_Z + d_{C(v)}\circ h (x^{i+1},y^i) = (u(x^{i+1}) , 0 , y^i) = s – \theta \circ w$.

所以上图交换。只要再证 $\theta$ 是 $K(\calA)$ 中的同构就可以了。

设 $\psi:C(v) \to X[1], (y^{i+1}, x^{i+1}, y^i) \mapsto x^{i+1}$. 那么我们有 $\psi \circ \theta = \text{id}_{X[1]}$.

接下来我们证 $\theta \circ \psi (y^{i+1}, x^{i+1},y^i) = (-u(x^{i+1}), x^{i+1},0)$ 同伦于 $\text{id}_{C(v)}$. 我们取 $h^i: C(v)^i \to C(v)^{i-1}, (y^{i+1},x^{i+1},y^i) \mapsto (y^i, 0 ,0).$

$\text{id}_{C(v) } – \theta \circ \psi = (y^{i+1}+ u(x^{i+1}), 0 , y^i )= h d_{C(v)} + d_{C(v)} h$. 所以 $\theta$ 是 $K(\calA)$里的同构。故 $\Delta_2$ 是好三角。

引理

$K(\calA)$ 满足 (TR3).

证明:

根据 (TR1)(c) 的补全在同构意义下唯一。所以我们不妨假设所有好三角都具有形式

$$ X \xrightarrow{u} Y \xrightarrow{v} C(u) \xrightarrow{w} X[1].$$

假设我们有下图

因为我们知道 $C(u) = X[1] \oplus Y, C(u’) = X'[1] \oplus Y’$, 所以我们定义

$$ h :X[1] \oplus Y \to X'[1] \oplus Y’$$ 为 $h = f[1]\oplus g$.

可以直接验证 $v’ g – hv = 0$ 和 $w’ h – f[1]w = 0$.

定义

设 $X,Y,Z \in Kom(\calA)$, $0 \to X \to Y \to Z \to 0$ 是一个短正合列。

如果对于任意 $i$, $0\to X^i \to Y^i \to Z^i \to 0$ 是可裂正合列,我们称 $0\to X \to Y \to Z \to 0$ 是 semi-split.

例题

$K(\calA)$ 中的

$$0 \to K \xrightarrow{\overline{f}} Cyl(f) \xrightarrow{\pi} C(f) \to 0$$

是 semi-split 的。

注记

根据 $K(\calA)$ 中好三角的定义,对于任意好三角,都一定同构于 $X \to Y \to Z \to X[1]$ 其中 $0\to X \to Y \to Z \to 0$ 是 semi-split 的.

引理

$Kom(\calA)$ 中任意 semi-split 的短正合列 $0 \to X \xrightarrow{u} Y \xrightarrow{v} Z \to 0$ 都可以被补全成以下 $K(\calA)$ 中的好三角

$$ X \xrightarrow{u} Y \xrightarrow{v}Z \to X[1].$$

证明:

因为 $0\to X \xrightarrow{u} Y \xrightarrow{v} Z \to 0$ 是 semi-split 的短正合列。所以我们可以设 $Y^i = X^i \oplus Z^i$. $u: x^i \mapsto (x^i, 0)$, $v:(x^i,z^i) \mapsto z^i$.

设 $d_Y = \begin{pmatrix} A & B \\ C& D \end{pmatrix}$, 因为我们有 $u d_X = d_Y u$ 和 $v d_Y = d_Z v$, 所以

$$d_Y^i \begin{pmatrix} x^i \\ z^i \end{pmatrix} = \begin{pmatrix} d_X^i & -f^i \\ 0& d_Z^i \end{pmatrix}\begin{pmatrix} x^i \\ z^i \end{pmatrix}.$$

观察到 $d_Y^2 =0$ 当且仅当 $f$ 是从 $Z$ 到 $X[1]$ 的链映射。因为我们这里 $Y$ 是复形,故 $f$ 确实是从 $Z$ 到 $X[1]$ 的链映射。

我们得到一个三角 $$X \xrightarrow{u} X \oplus Z \xrightarrow{v} Z \xrightarrow{f} X[1].$$

我们来看下图,我们想证明这是三角间的同构。

其中 $g:z^i \mapsto (f(z^i), 0 , z^i)$. $t: (x^{i+1}, x^i ,z^i) \mapsto x^{i+1}$.

$$d_{C(u)} = \begin{pmatrix} -d_X & 0 &0 \\ \text{id}_X & d_X & -f \\ 0 & 0& d_Z \end{pmatrix}.$$

(a) 验证 $g d_Z = d_{C(u)} g$. 所以 $g$ 是链映射。

(b) 显然最左边的方形和最右边的方形都是交换的。

(c) 设 $k^i: (X\oplus Z)^i \to (X[1] \oplus X \oplus Z)^{i-1}: (x^i, z^i)\mapsto (x^i,0,0)$. 我们验证中间方形交换。

(d) 设 $g’: X[1] \oplus X \oplus Z \to Z, (x^{i+1} ,x^i , z^i) \mapsto z^i$. 那么 $g’ \circ g = \text{id}_Z$. $g\circ g’ (x^{i+1}, x^i, z^i) = (f(z^i), 0 , z^i)$. 设 $l^i: C(u)^ i \to C(u)^{i-1}:(x^{i+1},x^i, z^i) = (x^i , 0 ,0)$. 我们验证 $g\circ g’$ 和 $\text{id}_{C(u)}$ 同伦。

引理

$K(\calA)$ 满足 (TR4)

证明:

假设我们有八面体的上半部分

我们有两个好三角 $Y \to Z \to X’\to Y[1]$ 和 $X \to Y \to Z’ \to X[1]$

根据注记 , 不妨直接假设 $Y^i = X^i \oplus Z’^i$ 和 $Z^i = Y^i \oplus X’^i = X^i \oplus Z’^i \oplus X’^i$.

我们记 $f: Z’ \to X[1]$, $(g,h): X ‘ \to Y[1] = X[1] \oplus Z'[1]$.

我们来构造 lower cap 如下。

设 $Y’^ i = Z’^i \oplus X’^i$, $d_Y’^i ( z’^i,x’^i) = \begin{pmatrix} d_{Z’}^i & -h^i \\ 0 & d_{X’}^i \end{pmatrix}\begin{pmatrix} z’^i \\ x’^i \end{pmatrix}$. 因为 $d_{Z’}^2= 0$, 所以 $Y’$ 确实是一个复形。注意到 lower cap 里只有 $4$ 个映射还未确定。

我们设 $Z’ \to Y’$ 是含入映射。$Y’ \to X’$ 是投影。$Z \to Y’$ 也是投影。

$Y’ \to X[1]$ 是 $(f\oplus g) : Z’\oplus X’ \to X[1]$.

接下来我们来验证交换和好三角。交换是显然的。

注意到 $0 \to Z’ \to Y ‘ \to X’\to 0$ 是一个短正合列。那么根据引理 , 我们有 $Z’ \to Y’ \to X’ \xrightarrow{h} Z'[1]$. 这个好三角。

注意到 $0 \to X \to Z \to Y’ \to 0$ 是一个短正合列。

因为 $Z = Y \oplus X’ = X \oplus Z’ \oplus X’$, $d_Z \begin{pmatrix} x \\ z’ \\x’ \end{pmatrix} = \begin{pmatrix} d_X& -f & -g \\ 0 & d_{Z’} & -h \\ 0 & 0 & d_{X’} \end{pmatrix}\begin{pmatrix} x \\ z’ \\x’ \end{pmatrix} $, 所以如果考虑 $Z = X \oplus Y’$, 我们有 $d_Z = \begin{pmatrix} d_X & -f\oplus g \\ 0 &d_{Y’} \end{pmatrix}$. 故根据引理 , 显然右边也是好三角。

验证 $Y \to Z \to Y’$ 和 $Y \to Z’ \to Y’$ 相同,这是显然的,因为它们都是 $(x^i ,z^i )\mapsto (z^i,0)$.

验证 $Y’ \to X’ \to Y$ 和 $Y’ \to X \to Y$ 相同。

$Y’ \to X’ \to Y[1]: (z’^i, x’^i) \mapsto (g(x’^i), h(x’^i))$.

$Y’t\ o X \to Y[1]:(z’^i,x’^i) \mapsto (f(z’^i)+g(x’^i),0)$

取 $k^i :Y’^i \to Y, (z’^i,x’^i) \mapsto (0,z’^i)$. 可以证明这两个映射同伦。

导出范畴都是三角范畴

回忆

设 $\calB$ 是一个 Abel 范畴。 A class of morphisms $S\subseteq \text{Mor} \ \calB$ 称为 localizing 如果满足以下条件:

(a) $S$ 对复合封闭: 对于任意 $X \in \text{ob} \ \calB$ , $\text{id}_X \in S$. 对于任意 $s,t \in S$, 如果存在 $s\circ t $, 那么 $s\circ t \in S$.

(b) 扩张条件:对于任意 $f\in \text{Mor} \ \calB, s\in S$, 存在 $g \in \text{Mor} \ \calB, t\in S$, 使得下图交换

(c) 设 $f,g$ 是从 $X$ 到 $Y$ 的两个态射,存在 $s \in S$ 使得 $sf =sg$ 当且仅当存在 $t\in S$ 使得 $ft =gt$.

设 $\calD$ 是一个三角范畴,$S$ 是一个 localizing class,我们称 $S$ 为 compatibility with triangulation, 如果满足以下两个条件:

(1) $s\in S$ 当且仅当 $T(s) \in S$.

(2) 如果我们有 (TR3) 里的图

且其中 $f,g \in S$, 那么一定存在 $h\in S$ 补全这个图.

定理

设 $\calD$ 是一个三角范畴,$S$ 是一个 compatible with the triangulation 的 localizing class of morphisms.

我们定义转移函子 $T_S$ 为 $T_S(X) = T(X)$,设 $f:X \to Y \in \text{Mor}_{D_S}$, 其可以表示成如下的 roof:

那么 $T_S(f)$ 就是如下的 roof:

$\calD_S$ 里的好三角是一个三角

$$X \to Y \to Z \to X[1]$$

其和$\calD$ 中一个好三角在映射 $\calD \to \calD_S$ 下的像同构。

那么 $\calD_S$ 是一个三角范畴。

引理

设 $K^\bullet \xrightarrow{u} L^\bullet \xrightarrow{v} M^\bullet \xrightarrow{w} K[1]^\bullet$ 是 $K(\calA)$ 里的好三角,那么以下序列

是正合列。

推论

$K(\calA)$ 的导出范畴 $D(\calA)$ 具有三角范畴的结构。

证明:

只要说明 $S$ 满足 compatibility with triangulation.

设 $s$ 是一个拟同构。$T(s)$ 依然是拟同构。

如果我们有 $K(\calA)$ 里的图

其中 $f,g$ 都是拟同构。

根据引理 和五引理,我们可以推出 $h$ 也是拟同构。

所以 $D(\calA)$ 是三角范畴。

引理

$Kom(\calA)$ 中的正合列 $0 \to K^\bullet \xrightarrow{f} L^\bullet \xrightarrow{g} M^\bullet \to 0$ 都拟同构于

$$ 0 \to K^\bullet \xrightarrow{f} Cyl(f) \xrightarrow{\pi} C(f) \to 0.$$

命题

$Kom(\calA)$ 中的短正合列 $0 \to X \xrightarrow{u} Y \xrightarrow{v} Z \to 0$ 都可以补全成 $D(\calA)$ 里的好三角。并且 $D(\calA)$ 里的所有好三角都可以通过这种方式得到。

证明:

根据引理 ,即可。

证明:

我们来证明一下这个定理

(TR1) (a) $X \xrightarrow{id} X \to 0 \to X[1]$ 是 $X \xrightarrow{id} X \to 0 \to X[1]$ 的像。

(b) 显然。

(c) 设 $X\xrightarrow{u} Y\in \text{Mor}_{D_S}$, 所以其可以写成 roof $X \xleftarrow{s} Z \xrightarrow{u’} Y$, 显然 $Z \xrightarrow{u’} Y$ 可以补全成 $\calD$ 中的好三角 $\Delta:X \xrightarrow{u’} Y \xrightarrow{v} U \xrightarrow{w} Z[1]$.

设 $\Delta’: X \xrightarrow{u} Y \xrightarrow{v} U \xrightarrow{s[1]w} X[1]$ 是 $\calD_S$ 里的一个三角,注意到 $(i,\text{id}_Y,\text{id}_U)$ 是从 $\Delta$ 到 $\Delta’$ 的同构。所以 $\Delta’$ 是 $\calD_S$ 的一个好三角。所以 $X \xrightarrow{u} Y$ 可以补全成一个好三角。

(TR2) 利用 $\calD$ 中好三角的平移还是好三角。像依然是好三角。

(TR3) 讲清楚这个图就行了。

利用 $S$ 作为 localizing class 的性质,我们有图

显然有交换 $us \tilde{t} t \tilde{u}$.

又因为我们在 $\calD_S$ 中有交换 $u’f = gu$, 所以我们有 $$u’\tilde{f} s^{-1} = \tilde{g} t^{-1}u =\tilde{g} \tilde{u}(s \tilde{t})^{-1}$$

所以在 $\calD_S$ 中有 $u’\tilde{f} \tilde{t} = \tilde{g} \tilde{u}$.

可以构造以下图

把这个 $\tilde{\tilde{X}}$ 放到 $X”$, 那么

都交换。

讲 $X” \xrightarrow{u”} Y”$ 补全成 $X ” \xrightarrow{u”} Y” \xrightarrow{v”}Z” \xrightarrow{w”} X”[1]$.

后面的图可以用 $\calD$ 中的 (TR3) 补全,我们得到 $r: Z” \to Z$. 再根据 $S$ 和三角兼容,故 $r\in S$.

前面的图用 $\calD$ 中的 (TR3) 补全,我们得到 $\tilde{h} : Z” \to Z’$. 我们定义 $h:Z \to Z’ \in \text{Mor}_{\calD_S}$ 为 $(r,\tilde{h})$.

那么我们就补全了这张图。

(TR4)

假设我们有 Upper cap.

设 $f:X \to Y, g: Y \to Z$, 那么其可被表示成如下 roof

其中 $s,t\in S$.

$g\circ f$ 可以表示成

我们可以将图简化为

即下文 $f,g,h:= g\cric f$ 定义为下图

我们考虑 $\calD$ 中的一个 Upper cap

接下来我们准备证明 (IV.5) 的像正好是 (IV.4).

显然下图左边方形交换,根据 (TR3), 存在 $r$ 补全了这个图。因为 $s,t$ 都是 $\calD_S$ 中的同构,$r$ 也是 $\calD_S$ 中的同构。

所以该图是两个好三角的同构。

类似,

也是好三角的同构。

故 (IV.4) 是 (IV.5) 的像。

因为 (IV.5) 是 $\calD$ 中的 upper cap, 根据 (TR4), 我们得到 lower cap

其在 $\calD_S$ 中的像就是我们要找的 (IV.4) 对应的 lower cap.

订阅评论
提醒
0 评论
最多投票
最新 最旧
内联反馈
查看所有评论